Borsada teknik analiz kullanarak trade etmek, işlem sıklığı ve getiri arasındaki ilişkiyi anlamayı gerektirir. Teknik analiz, finansal okuryazarlıkla birleştirildiğinde kazanç sağlama potansiyeli sunar. Ancak, her zaman istenen sonuçları vermeyebilir. Sayısal yöntemler kullanan fonlar ve Bank of America'nın günlük trade kazançlarına dair veriler, teknik analiz kullanımını sorgulatan önemli göstergelerdir. Bu yazıda, teknik analizin etkinliği, işlem sıklığının getirisi üzerindeki etkisi ve neden teknik analiz her zaman işe yaramıyor sorularını inceleyeceğiz.
_para_kazanmak_baslik.webp)

Yukarıdaki çalışmada gördüğünüz gibi 972 kişiden oluşan aracı kurum verisi kullanılmış. Burada yatırımcılar iki gruba ayrılmış; daha fazla hisse senedi alıp satan grup ve daha az hisse senedi alıp satan grup. Birinci grup yılda 1,5 kez elindeki portföyü değiştirirken, ikinci grup sadece %10 değiştiriyor. Yani birinci grubun ortalama yatırım vadesi 8 ay iken ikinci grubun yatırım vadesi 10 yıl. Tabii ikisi de Türkiye ortalamalarına göre çok yüksek, çünkü Türkiye dünyada en çok ticaretin yani al satın yaygın olduğu ülke. Ancak, maalesef Türkiye için bu tarz çalışmalar olmadığından yabancı çalışmaları sunuyoruz. Bu çalışmada, daha çok al sat yapanlar endeksin ve piyasanın riske göre düzeltilmiş olarak %3.1 altında getiri elde ederken, daha az işlem yapanlar (daha uzun vadeli işlem yapanlar) pozitif performans elde etmeyi başarmışlar. Tabii bu birazcık yatırım dönemleriyle de ilgilidir, fakat değişmeyen tek şey daha çok trade edenlerin daha düşük getiriye sahip olduklarıdır.

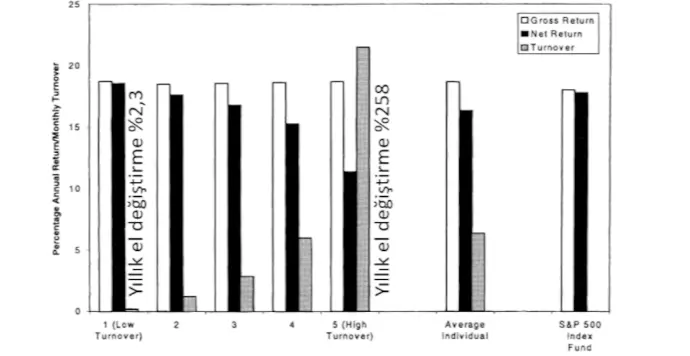
Yukarıda gördüğünüz bir başka çalışmada 66.000 borsa yatırımcısına ait sonuçlar kullanılmış. Sonuçlar 5 dilime ayrılmış. Birinci dilimdeki yatırımcılar neredeyse hiç hisse senedi al sat yapmıyorlar. Alıp sadece bekliyorlar ve tutuyorlar. Bunlar siyah renk ile ifade ediliyor ve performansları oldukça yüksek. Gri renkli çubuk işlem hacmini temsil ediyor. Hacim büyüdükçe performansta düşüş olmuş ve en çok işlem yapan grubun ortalama performansı yıllık olarak endeksin %6.5 altında kalmış. Yani daha çok işlem yapan yatırımcılar daha düşük performans elde etmişler.

Hollanda'da 5.500 kişinin katıldığı yukarıdaki çalışmada teknik analiz kullanan, temel analiz kullanan ya da profesyonel yatırım danışmanlığı alan yatırımcılar arasında performansları karşılaştırılmış. Buradaki sonuçlara göre teknik analiz kullananlar ve profesyonel yatırım danışmanlığı alanlar istatistiksel olarak %1 derecesinde, yani güçlü anlama sahip bir şekilde piyasaya kıyasla negatif performans elde etmişler. Yani teknik analiz kullanmak ya da profesyonel yatırım danışmanlığı almak onların getirilerini aşağı çekmiş. Temel analizin etkisi pozitif görülmüş, ama bazı rakamların yanında 3 yıldız var. Bu 3 yıldızın anlamı, istatistiksel olarak anlamlı demektir. Temel analiz için istatistiksel olarak anlamlı sonuçlar elde edilememiş, yani işe yarıyor mu yaramıyor mu belirsiz. Fakat teknik analiz ve profesyonel yatırım danışmanlığı net bir şekilde olumsuz etkiye sahip olmuşlar.
Bir başka çalışmada kurumlar (aracı kurum ya da danışmanlık şirketleri olabilir) tarafından yayınlanmış olan teknik analiz al sat sinyalleri incelenmiş. Bu çalışmada 5.000'in üzerinde al sat sinyali ele alınmış ve bu sinyalleri takip eden yatırımcıların bundan faydalanamayacakları görülmüş. Çünkü bu al sat sinyallerin gelecekteki getirileri ya da kayıpları tahmin eden bir yeteneği yokmuş. Tam tersine, işlem hacmini artırdığı ve komisyon giderlerini artırdığı için de negatif etkileri olmuş. Yine bu al sat sinyali ile beraber "zarar kes" (stop-loss) ya da kar al seviyeleri de istatistiksel olarak bir anlam ifade etmediği görülmüş.

Yukarıdaki grafikte, Türkiye'de 3.800'ü aşkın katılımcıyla gerçekleştirilen bir anket çalışmasında insanlara finans matematiği ile ilgili 14 soru sorulmuştur. Bu sorulara verdikleri cevap sayısı ile teknik analizin geçerliliğine inanıp inanmadıkları arasındaki ilişkiye bakılmıştır. Yapılan anketin sonucunda verilen doğru cevap sayısı arttıkça, insanlar teknik analizin geçerliliğine daha az inanıyorlar.
Temel analizde daha bilgililer temel analize daha çok inanıyor, ama finans matematiği ya da finansal okuryazarlığı düşük olanlar teknik analize daha çok inanıyor.

Teknik analiz ve temel analizi çapraz tablo analiziyle değerlendirdiğimizde, temel analize en yüksek seviyede inanıp teknik analize inanmayanların aldığı notların daha yüksek olduğunu görüyoruz. Parantez içinde olan rakamlar o gruba giren kişi sayısını göstermektedir. Örneğin, 259 kişi teknik analize hiç inanmazken, temel analize tamamen inanıyor. Bunların ortalama finansal okuryazarlık seviyesi 9.75, yani en yüksek notu alan grup tam tersi tarafa gittiğimizde notların düştüğünü görmekteyiz.
Peki rasyonel olmayan, aşırı getiri beklentisi ile teknik analizin geçerliliğine olan inanç arasında bir ilişki var mı? Yukarıdaki grafikte gördüğünüz gibi teknik analizin tamamen geçerli olduğuna inanan grup anormal, aşırı getiri beklentisinde olan kişiler. Örneğin, bu kişiler portföylerinin her yıl 2 kat arttırabileceklerini ve her ay %10 kazanabileceklerini zannediyorlar. Tam tersi, teknik analize hiç inanmayan ve temel analize maksimum seviyede inananlar bu aşırı getiri beklentisi puanlama olarak çok daha makul seviyelerde olduğu görülmektedir.

Bu test sonuçlarının insanların eğitim düzeyi ile ya da finans konusundaki bilgi seviyeleri ile ilişkili olup olmadığını analiz edilen çalışma da yukarıdaki tabloda gösterilmiştir. Bu anket çalışmasına katılanlar 3 gruba ayırılmış. Finans okuryazarlık seviyesi en yüksek olan %30, ortalama seviye olan %40 ve finans okuryazarlık seviyesi en düşük olan %30 olarak ayrılmıştır.
Ankette teknik analizin geçerliliğine inanıp inanmadığı sorulmuş ve finansal okuryazarlığı düşük olan kişiler teknik analize daha çok inanıyor ve ilginç bir şekilde bu sonuç finans uzmanlığı olanlar arasında da geçerli. Örneğin, finans konusunda çalışan ya da finansal bir eğitimi olan kişilerin arasında finansal okuryazarlık oranı düştüğünde teknik analize olan inanç artıyor.
Bu sonuçlar lise mezunları, üniversite mezunları, yüksek lisans ve doktora yapmışlar arasında da aynen geçerli. Finansal okuryazarlık düştükçe bu teknik analize olan inanç artmaktadır.
Bireysel yatırımcılar dışında profesyonel yöneticiler acaba teknik analizi kullanarak para kazanabiliyor mu? Sayısal stratejiler denilince aklımıza 2 tane önemli fon gelmektedir. Biri James Harris Simons (Jim Simons)'ın Renaissance Technologies fonu, diğeri de James Harding'in Winton Capital fonu. Jim Simons, bu konuda oldukça başarılı bir isim ve yıllardır çok yüksek performans sergiledi.
Jim Simons'un 3 tane fonu var ve 3 fondan 1 başarılı oldu. Başarılı olanda da dışarıdan yatırımcı almıyorlar, sadece kendi paralarını yönetiyorlar ve 10 milyar Dolar'a kadar yönetiyorlar. O fonun performansı her yıl pozitif. Hem Winton Capital hem de Renaissance Technologies genelde yüksek lisans ve doktor eğitimi almış, dünyanın en iyi üniversitelerinden mezun olmuş matematikçileri, fizikçileri ve bilim adamlarını çalıştırıyorlar. Örneğin, Winton Capital'da astrofizikçi bile çalıştırdıklarını söylediler.
Renaissance Technologies ne kadar başarılı olmuş olsa da Winton Capital özellikle son yıllarda başarısız oluyor. Son 5 yıldaki düşük performansı nedeniyle yönettikleri fonlar %80 oranında azalmış ve sadece 2020 yılında bile %20 zarar etmişler, ki o yıl biliyorsunuz borsa süper performans sergilemişti. Bu da bize bu işi en iyi bilen, bu işin piri dediğimiz fonlar ve yöneticiler bile zarar edebiliyor.

Financial Times'ın yukarıdaki görselinde Amerika'da trend takip eden fonların 2000 yılından 2020 sonuna kadarki 21 yıllık dönem için ortalama performansı gösterilmiş. Bu fonlar %15'e varan net getiriler elde edebilmiş, yani yatırımcılarına %15'e yakın getiriler sunabilmiş. Fakat özellikle son 10 yılın 2'sinde yatay, 3'ünde kar ve 5'inde zarar etmiş.

Aynı dönemde endekse yatırım yapan ve çok düşük komisyon ödeyen yatırımcıların performansı ise yukarıdaki grafikte verilmiştir. Neredeyse her yıl %10-20 gibi getirirler elde etmişler. Örneğin, son 5 yılın 4'ünde hem S&P 500 hem de NASDAQ-100'de çok iyi performanslar sergilemişler.
Bir önceki grafiğe bakıyoruz, son 5 yılın 3'ünde zarar etmiş. En yüksek getiri elde edilen yıl %6'ymış. Ama hemen yukarıdaki grafikte %20-40 arasında getiriler var. Bu da teknik analizi kullanan, trend benim dostumdur diyenler profesyonel yatırım yöneticileri oldukları halde oldukça başarısız performans sergilemişler. Bu nedenle de zaten Amerika'da son yıllarda özellikle aktif yönetilen fonlardan endeksi takip eden pasif fonlara ciddi bir para akışı var.
Bu yatırımcılar bu kadar para kaybediyor, peki kimler kazanıyor? Bu kazananlar Bank of America (BoA) ya da Goldman Sachs gibi bu işi profesyonelce yapan kurumlar.

Yukarıdaki grafikte Bank of America'nın günlük trade (günlük al sat) kazancını görüyoruz. Bir yılda 250 işlem günü var. 250 işlem gününün 3-5 gününde belki zarar etmişler, ama çoğunlukla kar etmişler. Örneğin, 25 milyon Dolar ile 50 milyon Dolar arasında para kazandıkları gün sayısı 120. Bu hem 2018 hem 2019 için geçerli. 2020-2021 tablolarına da baksak aynı sonucu göreceğiz. Bunlar bankaların faaliyet raporlarında yazan bilgilerdir ve görüyoruz ki bu kişiler neredeyse garanti kazanç elde ediyor. Bunu yıla vurursak muhtemelen Bank of America tek başına bir yılda 5 milyar Dolar trade kazanç elde ediyor. Goldman Sachs da bir 5 milyon milyar Dolar kazansa, toplam 10 milyar Dolar bu iki kurum kazanıyor. Peki bu ikisi kazanırken kim kaybediyor? Bu soruya da yanıt aramak gerekiyor.
Bundan önceki başlıklarda hem bireysel yatırımcıların hem de fonların teknik analiz kullanmaları sonucunda pek de güzel sonuçlar almadıklarını gördük. Peki neden teknik analiz işe yaramıyor?
Borsada trade ederek, yani al sat yaparak, para kazanmak istiyorsanız masadaki en iyi olanın bütün parayı kazandığını bilmeniz gerekiyor. En iyi olanın özellikleri; en gelişmiş algoritmaları kullanması ve en yüksek fona sahip olmasıdır. Örneğin, Bank of America ve Golden Sachs bu konularda çok güçlüler ve onlar milyarlarca Dolar kaybediyorsa birilerinin de kaybetmesi gerekiyor. Uzun vade yatırım yapan, bir hisseyi 5 yıl 10 yıl tutan kişiler kaybetmeyeceğine göre, yani en azından trade ederek para kaybetmeyeceklerine göre, demek ki teknik analiz kullanan al sat yapanların para kaybetmesi zaten bu oyunun kuralıdır.
İçeriden öğrenenler diye bir gerçek var borsa dünyasında. Örneğin, borsadaki bütün şirketlerde içeriden bilgi alma yeteneği olan yatırımcılar mutfakta neyin piştiğini görüyor. Bu nedenle, normal bir yatırımcıya kıyasla çok daha avantajlılar. Eğer iyi bir haber açıklanacaksa ve işler iyi gidiyorsa çok daha önceden haberdar oluyorlar. Kötü bir haber açıklanacak ve işler bozacaksa çok daha önceden bunu sezebiliyorlar. Hem sektörü çok iyi biliyorlar, işin içindeler hem de şirkete ait özel bilgilere sahipler. Bu kişi veya kurumlar da borsalarda işlem yapıyor. Yasak olsa da, ne kadar hisse aldığının bildirisini yayınladığında yasak da olmuyor, gizli bilgiler dışarıya sızabiliyor. Birçokları da Kamuyu Aydınlatma Platformu'nda (KAP) bildirmeden de işlem yapabiliyor ki onların para kazanması için direkt yapanların da kaybetmesi gerekiyor, çünkü ne kadar çok al sat yaparsak içeriden öğrenenlere kıyasla yaşadığımız dezavantaj o kadar artıyor.
Teknik analizi etkin ve verimli bir şekilde kullanmak için çok iyi istatistik bilmek gerekiyor. Tabi herkes backtesting, yani geçmiş verileri kullanarak geleceği tahmin etmeyi, artık herkes yapabiliyor. Bunun yazılımını yapmak, kodunu yazmak kolay. Fakat burada elde ettiğimiz sonuçta istatistiksel olarak anlamlı mı değil mi, rastlantı eseri mi oluştu yoksa belli bir dinamiğe dayanıyor ve gerçekçi mi? Bunu anlamak için istatistiği iyi bilmek gerekiyor. O karmaşık algoritmaları yazmak için iyi bir yazılım becerisine sahip olmak gerekiyor ya da bağlantı hızının çok iyi olması, işlem yapan bilgisayarın çok güçlü olması gibi türlü türlü özellikler devreye giriyor.
Teknik analizi kullananların başarısız olmasının en önemli nedenlerinden biri de geçmişe dönük test yapmamaları, geçmişe dönük testi yapsalar da sonuçları doğru yorumlayamamalarıdır. Örneğin, insanlar komisyon giderlerini dahil ediyor, ama hisselerin fiyat hareketlerine baktığımızda akşam seansı kapadı ve sabah almamız gerekiyor, fakat yukarıdan %5 açtı ya da toplu olmamız gerekiyor, gece kötü bir haber geldi. Bir anda bir gün sonra %10 kayıpla açıyor hisse. Bizim %10 kayıptan kurtulma şansımız olmuyor. Teknik analiz kuralları gereği bize al ya da sat sinyali geldiğinde son işlem fiyatıyla bu işlemi yapamıyoruz, çünkü biz hisseyi satacağımız sırada alıcılar her zaman düşük fiyat veriyor. Haliyle alacaksak satıcılar yüksek fiyat veriyor. İşlem hemen gerçekleşsin diyorsak satıcı ya da alıcının fiyatını kabul etmeliyiz ve o al sat makası nedeniyle belli bir zarara uğramayı kabullenmeliyiz. Bunlar komisyon giderinin haricinde bir gider. Eğer karşı tarafın fiyatını kabul etmezsek ve beklersek o işlem hiç gerçekleşmeyebilir. Böylece, teknik alım satım kuralını uygulamamış oluruz. O yüzden o kuralı uygulayacaksak al sat makası nedeniyle de bir maliyet oluşuyor ve işlem hacmi ne kadar artarsa bu makas nedeniyle yaşadığımız kayıp daha çok artıyor. Bunu backtesting ile test edebilene pek denk gelmedik, ama bunu da muhakkak analizlerimize dahil etmeliyiz.
Teknik analiz ile bir hisseyi incelediğimizde geçmişte uzun bir trend oluşmuş olabilir, yukarı yönde ya da sürekli devam eden bir zigzag hareket olabilir. Ancak, uzunca yukarı bir trend oluşturması onun devam edeceği anlamına gelmez. Zigzag yaparken yukarı trende başlamış olması o trendin devam edeceği anlamına da gelmez. Gelse de zaten bunu modelleriz, ama bu maalesef mümkün değil.
Eğer bizim stratejimiz geçmişe uyum sağlıyorsa o stratejinin çalıştığını zannederiz, fakat bu demek değildir ki gelecekte de bu strateji çalışacak. O yüzden, iyi bir strateji iyi bir model değişik piyasa şartlarında çok uzun dönemlerde değişik hisselerde çalışması gerekiyor. Örneğin, her ay ve her yıl çalışması gerekiyor, boğa piyasasında da ayı piyasasında da çalışması gerekiyor. Aksi takdirde biz zaten gelecekte boğa piyasası mı olacağını, ayı yasası mı olacağını, zigzag mı olacağını biliyor olsaydık, bunu tahmin edebiliyor olsaydık, zaten trilyoner olurduk ve kısa sürede köşeyi dönerdik. Dünyanın en büyük yatırımcılarını dinlediğimizde geleceği tahmin edemediklerini söylüyorlar. Bu yatırımcıların şu an içinde bulunduğumuz piyasa konusunda da genelde fikirleri olmuyor. Geçmişi tespit edebiliriz, ama geleceği bilemeyiz.
Bu yazımızda, teknik analizin ne kadar geçerli olduğunu akademik çalışmalardan yararlanarak analiz ettik ve elde ettiğimiz sonuçlar teknik analizin başarılı bir şekilde kullanılması için matematik olasılık, istatistik ve yazılım bilgilerine ihtiyaç duyduğunu gösteriyor. Fakat pratikte genelde bu donanımlara sahip olmayan kişiler tarafından tercih edildiği ve çok fazla yüksek getiri beklentisi, aşırı özgüveni olanların teknik analizi daha çok kullandığı görülüyor. Bunun sonucunda da teknik analiz kullanımı ile borsa performansı arasında negatif ilişki olduğunu gördük.
Tabii ki muhakkak teknik analizi kullanarak para kazananlar olabilir. Fakat sosyal medyada ya da profesyonel yatırım danışmanların, sizlere teknik analiz kullanarak para kazandığını söyleyenlerin büyük kısmı, belki %95'i belki %99'u, pratikte para kazanmıyor olabilir ya da kazansalar dahi bu şans eseri gerçekleşmiş olabilir. Bu yüzden, öncelikle kendi donanımınızın bu iş için uygun olup olmadığını tartmalısınız.